¡Incendios de coches eléctricos! En las acciones Nikola de la euforia al desafío; acciones caen un 11% tras retiro del camión Tre por riesgo de incendio en la batería


Las acciones de Nikola se dispararon debido a la creciente popularidad de los camiones Tre, y la situación ya ha cambiado 180 grados. Un fabricante de vehículos eléctricos tuvo que retirar su camión Tre del mercado debido al riesgo de incendios en la batería. Hoy, las acciones de la compañía han bajado un 11%.
El fabricante de camiones eléctricos Nikola se ha enfrentado a un gran obstáculo en la comercialización de su camión eléctrico Tre. Tuvo que retirar una serie de vehículos del mercado debido a preocupaciones sobre la seguridad de la batería. Las acciones de la compañía han bajado un -11% hoy. Su valoración oscila en torno a los 1.520 millones de dólares.
El viernes por la noche, Nikola pidió el retiro del mercado de más de 200 camiones eléctricos a batería debido a la posibilidad de un incendio en la batería. Esta decisión se tomó después de que una investigación concluyera que el incendio de la batería del 23 de junio en la sede de Nikola probablemente fue causado por una fuga de refrigerante.
A fines de junio de 2023, se habían vendido alrededor de 240 camiones a batería. La gran mayoría de vehículos se destinaron a flotas de transporte. Nikola no respondió a una solicitud de información de Barron's sobre qué porcentaje de los camiones que suministró habían sido retirados del mercado.
"En Nikola, nos tomamos la seguridad muy en serio. Desde el principio, nos hemos asegurado de que tan pronto como se complete nuestra investigación, seremos transparentes y divulgaremos toda la información", dijo el director ejecutivo de Nikola, Steve Girsky.
Nikola dice que los operadores de flotas pueden operar los camiones hasta que sean reparados en servicio, pero sin embargo, deben estacionarse afuera (fuera de los edificios) y tener el interruptor principal de la batería en la posición "ENCENDIDO" (para permitir "monitoreo del vehículo en tiempo real y operación del sistema"). "seguridad").
Las acciones de Nikola han bajado un -9% hoy durante la sesión. Sin embargo, cabe recordar que en los últimos 3 meses han aumentado cerca de un 120%, gracias a los pedidos de camiones Nikola propulsados por pilas de hidrógeno. La acción de servicio en cuestión no afecta a los camiones con celdas de hidrógeno: Nikola planea comenzar a enviarlos a los clientes en el tercer trimestre de 2023.
“Es importante para nosotros estar entre los pioneros de las nuevas tecnologías y soluciones innovadoras que pueden cambiar la forma en que transportamos mercancías”, explicó Nick Hobbs, COO de J.B. Hunt Transport Services en un comunicado de prensa hace unos días. el ambicioso objetivo de reducir la intensidad de carbono.
A Nikola le siguen 8 analistas. Sólo uno recomienda "comprar". La recomendación promedio es 'mantener' y el precio objetivo promedio para las acciones es de $2,70 por acción, en comparación con $1,73 en la actualidad.


Fuente: TradingView
Cotizaciones de las acciones Nikola del Nasdaq Composite 

Fuente: TradingView
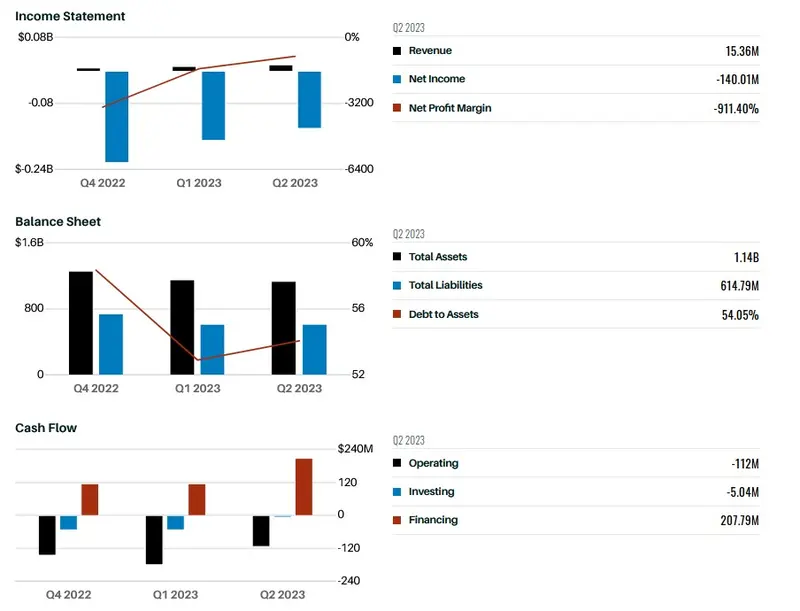
Nikola registró una pérdida por acción de 20 centavos en las ventas del segundo trimestre de 2023 de $15,4 millones. Wall Street esperaba una pérdida de 22 centavos sobre ventas de $15 millones. La empresa produjo 33 camiones y entregó 45. Esto se compara con una pérdida de 26 centavos en el primer trimestre, sobre ventas de $11,1 millones, y la empresa produjo 63 camiones y entregó 31. Nikola espera entregar entre 60 y 90 camiones en el tercer trimestre. trimestre y de 300 a 400 camiones a lo largo de 2023.
La empresa admite que necesitará más capital para expandir sus operaciones. La gerencia estima que se necesitarán otros USD 600 millones para alcanzar la rentabilidad. A fines de junio, Nikola tenía alrededor de $310 millones en efectivo. Wall Street espera que la empresa utilice unos 150 millones de dólares por trimestre y no prevé un flujo de caja libre positivo hasta 2027.


Fuente: TradingView